2025-11
06易度质量流量控制器助力华南理工大学重点实验室科研实验-膜分离研究!

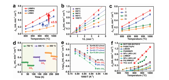
近期,华南理工大学学术科研团队发表题为《Enhanced Hydrogen Permeability of Mixed Protonic–Electronic Conducting Membranes through an In-situ Exsolution Strategy》被国际材料领域知名期刊《Advanced Functional Materials》收录。其中,易度质量流量控制器提供了试验测试全流程的气体流量精确控制。



华南理工大学学术科研团队作为高校某重点实验室,他们主要研究方向为膜分离技术。在实验测试阶段中对气体流量控制的重复性和稳定性要求非常高。易度质
量流量控制器以连续工作时的高稳定性,精确到小数点后两位的高分辨率和48种介质自如切换为优势,为论文在气体流量实验测试部分提供了精准的数据,从而
助力膜分析实验的高质量完成。

为满足科学工作者在实验中的气体流量测控需求,易度自主研发了具有完全知识产权的层流质量流量计和质量流量控制器,高重复性,高精度,快速响应,多参
数显示以及可选的触摸显示屏操作。
未来,易度将继续专注微流控核心技术,成为更多科研工作者不断探索未知的最佳工具,助力科研的贴心助手。
易度层流式质量流量计/控制器在新型材料、光伏、半导体、实验室、医药、新能源等行业应用广泛,更适合这些企业对于小流量多量程气体的测量与控制,陕
西易度智能科技是专注于研发完全国产自主知识产权的小流量层流气体质量流量计和质量流量控制器,打破国外技术壁垒,在2018年拿到了国内首个层流
质量流量计器具型式批准资质证书(CPA),成为了全球第二家有能力生产通用型层流质量流量计的高新企业,也是国内唯一通过中国计量科学研究院的层流
质量流量计和控制器制造商;欢迎各位业界同仁以及各行各业实际应用到气体质量流量计以及质量流量控制的企业莅临指导,共同交流!共同进步!
声明:本条推文参考华南理工大学学术科研团队在《Wiley-VCH Verlag》发表的《Enhanced Hydrogen Permeability of Mixed Protonic–Electronic
Conducting Membranes through an In-situ Exsolution Strategy》论文。
原文链接:https://advanced.onlinelibrary.wiley.com/doi/10.1002/adfm.202205255
1. 翻译如有不妥之处,请联系易度工作人员,我们会及时进行更正;
2. 内容如有侵权,请联系易度工作人员,我们会第一时间进行处理。